Mannich reaction

Mannich reaction
Named after Carl Mannich
Reaction type Coupling reaction
Identifiers
Organic Chemistry Portal mannich-reaction
RSC ontology ID RXNO:0000032

In organic chemistry, the Mannich reaction is a three-component organic reaction that involves the amino alkylation of the α-position of a ketone or aldehyde with an aldehyde and a nullary, primary, or secondary amine (−NH2).[1] The final product is a β-amino-carbonyl compound also known as a Mannich base. The reaction is named after Carl Mannich.[2][3]

A scheme of the Mannich reaction. A secondary amine, aldehyde and ketone is drawn on the left side of the reaction arrow. Written above the reaction arrow is the text "acid catalyst." To the right of the arrow, the β-amino carbonyl product formed is drawn.
An acid-catalyzed three component reaction with amine, ketone or aldehyde, and an enolizable carbonyl to yield a β-amino carbonyl.

The Mannich reaction starts with the nucleophilic addition of an amine to a carbonyl group followed by dehydration to the Schiff base. The Schiff base is an electrophile which reacts in a second step in an electrophilic addition with an enol formed from a carbonyl compound containing an acidic α-proton. The Mannich reaction is a condensation reaction.[4]: 140 

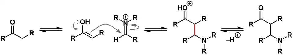
Reaction mechanism

The mechanism of the Mannich reaction starts with the formation of an iminium ion from the amine and aldehyde.[4]: 140 

Reaction mechanism for the formation of an iminium ion. Three equilibrium arrows are drawn depicting starting materials, two intermediates, and a product. Starting materials drawn are a secondary amine and protonated carbonyl. A curved arrow originates at a lone pair on the amine and ends at the carbonyl carbon. Another curved arrow is drawn starting from the C-O pi bond and ending at the protonated carbonyl oxygen atom. The first intermediate depicted is the tetrahedral structure that results from the first set of curved arrows. The second intermediate drawn is the result of a proton transfer. The amine functional group is no longer protonated and has a neutral formal charge whereas the hydroxyl functional group is now protonated with a positive formal charge. A curved arrow starting at a lone pair on the amine ends at the C-N sigma bond. A second curved arrow starting from the C-O sigma bond ends at the oxygen atom. Below the third equilibrium arrow that follows is a minus sign next to H2O, depicting the liberation of water as a result of the curved arrows. The product is an iminium ion.
Arrow pushing for the formation of an iminium ion

The compound with the carbonyl functional group (in this case a ketone) will tautomerize to the enol form, after which it attacks the iminium ion.

Asymmetric Mannich reactions

If the enolizable ketone or aldehyde has a substituent at the α-position, proline and similar-amino acid organocatalysts may be used to achieve the Mannich reaction stereoselectively (in regard to the relative stereochemistry of α-substituent and the resulting amino functionality at the β-position of the product).

An (S)-proline catalyzed Mannich reaction favors the formation of the product in which the substituent and amino functionalities are syn relative to one another.[5] A modified proline catalyst, such as a methylated pyrrolidinecarboxylic acid, can be used to favor the formation of the product with the substituents anti to one another.[6] In both cases, the organocatalyst transforms the enolizable aldehyde or ketone to an (E)-enamine. The facial selectivity of the nucleophilic attack is dictated by the preferred conformation adopted by the enamine (e.g., s-cis vs. s-trans) and the relative orientations of the enamine and imine such that the carboxylic acid functionality can protonate the imine nitrogen.

Scheme 4. Asymmetric Mannich reactions ref. Cordova (2002) and Mitsumori (2006)
Scheme 4. Asymmetric Mannich reactions ref. Cordova (2002) and Mitsumori (2006)

Applications

The Mannich reaction is used in many areas of organic chemistry, Examples include:

See also

References

  1. ^ Smith, Michael B.; March, Jerry (2007). March's Advanced Organic Chemistry (6th ed.). John Wiley & Sons. pp. 1292–1295. ISBN 978-0-471-72091-1.
  2. ^ Carl Mannich; Krösche, W. (1912). "Ueber ein Kondensationsprodukt aus Formaldehyd, Ammoniak und Antipyrin". Archiv der Pharmazie (in German). 250 (1): 647–667. doi:10.1002/ardp.19122500151. S2CID 94217627.
  3. ^ Blicke, F. F. (2011). "The Mannich Reaction". Organic Reactions. 1 (10): 303–341. doi:10.1002/0471264180.or001.10. ISBN 978-0471264187.
  4. ^ a b c Carey, Francis A.; Sundberg, Richard J. (2007). Advanced Organic Chemistry: Part B: Reactions and Synthesis (5th ed.). New York: Springer. pp. 140–142. ISBN 978-0387683546.
  5. ^ Córdova, A.; Watanabe, S.-I.; Tanaka, F.; Notz, W.; Barbas, C. F. (2002). "A highly enantioselective route to either enantiomer of both α- and β-amino acid derivatives". Journal of the American Chemical Society. 124 (9): 1866–1867. Bibcode:2002JAChS.124.1866C. doi:10.1021/ja017833p. PMID 11866595.
  6. ^ Mitsumori, S.; Zhang, H.; Cheong, P. H.-Y.; Houk, K.; Tanaka, F.; Barbas, C. F. (2006). "Direct asymmetric anti-Mannich-type reactions catalyzed by a designed amino acid". Journal of the American Chemical Society. 128 (4): 1040–1041. Bibcode:2006JAChS.128.1040M. doi:10.1021/ja056984f. PMC 2532695. PMID 16433496.
  7. ^ da Rosa, F. A. F.; Rebelo, R. A.; Nascimento, M. G. (2003). "Synthesis of new indolecarboxylic acids related to the plant hormone indoleacetic acid" (PDF). Journal of the Brazilian Chemical Society. 14 (1): 11–15. doi:10.1590/S0103-50532003000100003.
  8. ^ Aradi, Allen A.; Colucci, William J.; Scull, Herbert M.; Openshaw, Martin J. (19–22 June 2000). A Study of Fuel Additives for Direct Injection Gasoline (DIG) Injector Deposit Control. CEC/SAE Spring Fuels & Lubricants Meeting & Exposition. Warrendale, PA: CEC and SAE International. doi:10.4271/2000-01-2020. ISSN 0148-7191. 2000-01-2020. Retrieved 20 August 2023.
  9. ^ Wang, Wenying; Wang, Wei; Zhu, Zhongpeng; Hu, Xiaoming; Qiao, Fulin; Yang, Jing; Liu, Dan; Chen, Pu; Zhang, Qundan (15 April 2023). "Quantitation of polyetheramines as the active components of detergent additives in gasoline by the ninhydrin reaction". Fuel. 338: 127275. Bibcode:2023Fuel..33827275W. doi:10.1016/j.fuel.2022.127275. ISSN 0016-2361.
  10. ^ Kuo, Chung-Hao; Smocha, Ruth; Loeper, Paul; Mukkada, Nicholas; Simpson Green, Felicia (30 August 2022). "Aftermarket Fuel Additives and their Effects on GDI Injector Performance and Particulate Emissions". SAE Technical Paper Series. 1. 400 Commonwealth Drive, Warrendale, PA, United States: SAE International. doi:10.4271/2022-01-1074.{{cite journal}}: CS1 maint: location (link)
  11. ^ Siegel, H.; Eggersdorfer, M. "Ketones". Ullmann's Encyclopedia of Industrial Chemistry. Weinheim: Wiley-VCH. doi:10.1002/14356007.a15_077. ISBN 978-3-527-30673-2.
  12. ^ Wilds, A. L.; Nowak, R. M.; McCaleb, K. E. (1957). "1-Diethylamino-3-butanone (2-Butanone, 4-diethylamino-)". Organic Syntheses. 37: 18. doi:10.15227/orgsyn.037.0018; Collected Volumes, vol. 4, p. 281.