Guerbet reaction

The Guerbet reaction, named after Marcel Guerbet (1861–1938), is an organic reaction that converts a primary alcohol into its β-alkylated dimer alcohol with loss of one equivalent of water. The process is of interest because it converts simple inexpensive feedstocks into more valuable products. Its main disadvantage is that the reaction produces mixtures.[1]

Guerbet Reaction
Guerbet Reaction

Scope and applications

The original 1899 publication concerned the conversion of n-butanol to 2-ethylhexanol.[2] 2-ethylhexanol is however more easily prepared by alternative methods (from butyraldehyde by aldol condensation).

Instead, the Guerbet reaction is mainly applied to fatty alcohols to afford oily products, which are called Guerbet alcohols. They are of commercial interest to as components of cosmetics, plasticizers, and related applications. The reaction is conducted in the temperature range 180-360 °C, often in a sealed reactor. The reaction requires alkali metal hydroxides or alkoxides. Catalysts such as Raney Nickel are required to facilitate the hydrogen transfer steps.[1]

While the Guerbet reaction is traditionally (and commercially) focused on fatty alcohols, it has been investigated for the dimerization of ethanol to butanol.[3]

Organometallic catalysts have been investigated.[4] A small amount of the diene 1,7-octadiene is required as a hydrogen acceptor.

Guerbet Reaction Scope
Guerbet Reaction Scope

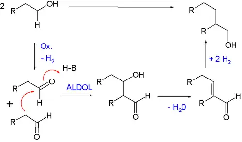
Mechanism

The reaction mechanism for this reaction is a four-step sequence. In the first step the alcohol is oxidized to the aldehyde. These intermediates then react in an aldol condensation to the allyl aldehyde which the hydrogenation catalyst then reduces to the alcohol.[5]

Guerbet Reaction Mechanism
Guerbet Reaction Mechanism

The Cannizzaro reaction is a competing reaction when two aldehyde molecules react by disproportionation to form the corresponding alcohol and carboxylic acid. Another side reaction is the Tishchenko reaction.

See also

  • Oxo alcohols - a different reaction which gives similar products
Guerbet alcohols

References

  1. ^ a b Noweck, Klaus; Grafahrend, Wolfgang (2006). "Fatty Alcohols". Ullmann's Encyclopedia of Industrial Chemistry. Weinheim: Wiley-VCH. doi:10.1002/14356007.a10_277.pub2. ISBN 978-3-527-30673-2.
  2. ^ Marcel Guerbet (1909). "Condensation de l'alcool isopropylique avec son dérivé sodé; formation du méthylisobutylcarbinol et du diméthyl-2.4-heptanol-6". Comptes rendus de l'Académie des sciences. 149: 129–132.
  3. ^ Wu, Lipeng; Moteki, Takahiko; Gokhale, Amit A.; Flaherty, David W.; Toste, F. Dean (2016). "Production of Fuels and Chemicals from Biomass: Condensation Reactions and Beyond". Chem. 1 (1): 32. Bibcode:2016Chem....1...32W. doi:10.1016/j.chempr.2016.05.002.
  4. ^ Toyomi Matsu-ura; Satoshi Sakaguchi; Yasushi Obora; Yasutaka Ishii (2006). "Guerbet Reaction of Primary Alcohols Leading to -Alkylated Dimer Alcohols Catalyzed by Iridium Complexes". Journal of Organic Chemistry. 71 (21): 8306–8308. doi:10.1021/jo061400t. PMID 17025333.
  5. ^ S. Veibel; J. I. Nielsen (1967). "On the mechanism of the Guerbet reaction". Tetrahedron. 23 (4): 1723–1733. doi:10.1016/S0040-4020(01)82571-0.