Golden field

In mathematics, ,[1] sometimes called the golden field,[2] is a number system consisting of the set of all numbers , where and are both rational numbers and is the square root of 5, along with the basic arithmetical operations (addition, subtraction, multiplication, and division). Because its arithmetic behaves, in certain ways, the same as the arithmetic of , the field of rational numbers, is a field. More specifically, it is a real quadratic field, the extension field of generated by combining rational numbers and using arithmetical operations. The name comes from the golden ratio , a positive number satisfying the equation , which is the fundamental unit of .

Calculations in the golden field can be used to study the Fibonacci numbers and other topics related to the golden ratio, notably the geometry of the regular pentagon and higher-dimensional shapes with fivefold symmetry.

Basic arithmetic

Elements of the golden field are those numbers which can be written in the form where and are uniquely determined[3] rational numbers, or in the form where , , and are integers, which can be uniquely reduced to lowest terms, and where is the square root of 5.[4] It is sometimes more convenient instead to use the form where and are rational or the form where , , and are integers, and where is the golden ratio.[5][6]

Converting between these alternative forms is straight-forward: or, in the other direction, .[7]

To add or subtract two numbers, simply add or subtract the components separately:[8]

To multiply two numbers, distribute:[8]

To find the reciprocal of a number , rationalize the denominator: , where is the algebraic conjugate and is the field norm, as defined below.[9] Explicitly:

To divide two numbers, multiply the first by second's reciprocal:[9]

As in any field, addition and multiplication of numbers in is associative and commutative; is the additive identity and is the multiplicative identity; every number has an additive inverse and a multiplicative inverse ; and multiplication distributes over addition. Arithmetic between numbers in is consistent with their arithmetic as real numbers; that is, is a subfield of .

Conjugation and norm

The numbers and each solve the equation . Each number in has an algebraic conjugate found by swapping these two square roots of 5, i.e., by changing the sign of . The conjugate of is . A rational number is its own conjugate, . In general, the conjugate is:[10] Conjugation in is an involution, , and it preserves the structure of arithmetic: ; ; and .[11] Conjugation is the only ring homomorphism (function preserving the structure of addition and multiplication) from to itself, other than the identity function.[12]

The field trace is the sum of a number and its conjugates (so-called because multiplication by an element in the field can be seen as a kind of linear transformation, the trace of whose matrix is the field trace).[13] The trace of in is : This is always an (ordinary) rational number.[11]

The field norm is a measure of a number's magnitude, the product of the number and its conjugates.[14] The norm of in is :[11] This is also always a rational number.[11]

The norm preserves the structure of multiplication, as expected for a concept of magnitude. The norm of a product is the product of norms, ; and the norm of a quotient is the quotient of the norms, . A number and its conjugate have the same norm, ;[11]

A number in and its conjugate are the solutions of the quadratic equation[11]

In Galois theory, the golden field can be considered more abstractly as the set of all numbers , where and are both rational, and all that is known of is that it satisfies the equation . There are two ways to embed this set in the real numbers: by mapping to the positive square root or alternatively by mapping to the negative square root . Conjugation exchanges these two embeddings. The Galois group of the golden field is thus the group with two elements, namely the identity and an element which is its own inverse.[14]

Golden integers

One convenient way to plot Z[φ] is as a lattice in the real coordinate plane. The so-called canonical embedding represents the number α by the point with coordinates (α, α). Numbers with the same norm lie on hyperbolas (orange and green lines).
The logarithmic embedding into the plane represents the (non-zero) number α by the point with coordinates ( log|α|, log|α|) – See Log–log plot. Multiplication in the golden field corresponds to vector addition in the embedding. Numbers whose norm has the same absolute value lie on diagonal lines.

The ring of integers of the golden field, , sometimes called the golden integers,[15] is the set of all algebraic integers in the field, meaning those elements whose minimal polynomial over has integer coefficients. These are the set of numbers in whose norm and trace are integers. The numbers and form an integral basis for the ring, meaning every number in the ring can be written in the form where and are ordinary integers.[16] Alternately, elements of can be written in the form , where and have the same parity.[17] Like any ring, is closed under addition and multiplication. is the smallest field containing , its field of fractions.

Norms

The set of all norms of golden integers includes every number for ordinary integers and .[18] These are precisely the ordinary integers whose ordinary prime factors which are congruent to modulo occur with even exponents (see § Primes and prime factorization below).[19] The first several non-negative integer norms are:[20]

, , , , , , , , , , , . . ..

The golden integer is called zero, and is the only element of with norm .[21]

Divisibility

If and are golden integers and there is some golden integer such that , we say that divides , denoted . In many respects, divisibility works similarly as among the ordinary integers, but with some important differences, as will be described in the following subsections.

Because, like the integers, is an integral domain, the product of two non-zero elements is always non-zero. Thus has no nontrivial zero divisors, and implies that either or .

Units

A unit is an algebraic integer which divides , i.e. whose multiplicative inverse is also an algebraic integer, which happens when its norm is . Among the ordinary integers, the units are the pair of numbers , but among the golden integers there are infinitely many units: all numbers of the form whose integer coefficients and solve the Diophantine equation . If a unit is instead written in the form , its coefficients solve a related Diophantine equation, the generalized Pell's equation . The fundamental unit – the smallest unit greater than – is the golden ratio and the other units consist of its positive and negative powers, , for any integer .[3] Some powers of are:

In general , where is the th Fibonacci number.[22] The units form the group under multiplication, which can be decomposed as the direct product of a cyclic group of order 2 generated by and an infinite cyclic group generated by .

Associates

Two golden integers and are associates if each divides the other, and . Equivalently, their quotient in is a unit, for some integer . Associateness is an equivalence relation. If divides some golden integer , then so does its associate : if then .

Associates have the same norm, up to sign: . However, not all elements whose norm has the same absolute value are associates; in particular, any golden-integer prime and its conjugate have the same norm, but are associates if and only if they are associated either with or with an ordinary prime.[19]

More generally, two numbers in are associates if their quotient is a unit. The set of associates of any number in is the orbit of any of them under the multiplicative action of the group of units.

Primes and prime factorization

Golden integer units (hollow circles) and primes (filled circles), along with zero (+) and composite numbers (×)[23]

A prime element of a ring, analogous to a prime number among the integers, is an element such that whenever , then either or . In the primes are of three types: , integer primes of the form [24] where is an integer, and the factors of integer primes of the form [25] (a pair of conjugates).[26] For example, , , and are primes, but is composite. Any of these is an associate of additional primes; for example is also prime, an associate of .[23]

The ring is a Euclidean domain with the absolute value of the norm as its Euclidean function, meaning a version of the Euclidean algorithm can be used to find the greatest common divisor of two numbers.[27] This makes one of the 21 quadratic fields that are norm-Euclidean.[28] A form of the fundamental theorem of arithmetic applies in : every golden integer can be written as a product of prime elements multiplied by a unit, and this factorization is unique up to the order of the factors and the replacement of any prime factor by one of its associates (which changes the unit factor accordingly).

Ideals

An ideal of is any subset which "absorbs multiplication", containing every golden-integer multiple of each of its elements. If is any golden integer, the set of all golden-integer multiples of , denoted or , is the ideal generated by . Every associated element generates the same ideal, but a non-associated element generates a different ideal: that is, precisely when . Because is a principal ideal domain, each ideal of can be generated by a single element. The zero ideal is the single-element set . The ideal is all of .

Various operations can be defined among ideals. If and are ideals of , then is the set of all sums of one element in plus one element in , and is the set of all sums of any number of terms, each of which is the product of one element in times one element in . The sum or product of two ideals is itself an ideal. Multiplication of ideals is distributive over addition.

More generally, a fractional ideal of is a subset of with the property that multiplication of each element by some golden integer, the "denominator", results in an ideal of . If is any number in , the set of golden-integer multiples of , also denoted or , is the fractional ideal generated by . As with integral ideals of , numbers in generate the same fractional ideal if and only if they are associated, and every fractional ideal can be generated by a single element. Multiplication of fractional ideals is consistent with multiplication of their generators. Let be the multiplicative group of the nonzero elements of , and be the group of the units. The function that maps each element of to the generated fractional ideal, , induces a group isomorphism between and the group of fractional ideals.

Table of integers

In the table below, positive golden integers have been arranged into rows, with one representative chosen for each class of associates (here the representative is the positive element in the class for which is a minimum).[23]

Matrix representation

is a two-dimensional vector space over , and multiplication by any element of is a linear transformation of that vector space. Given an ordered basis of , each number in can be associated to the corresponding transformation matrix in that basis. This defines a field isomorphism (a structure-preserving bijective map) from to the space of square matrices with rational entries spanned by the identity matrix , the image of the number , and a matrix , the image of .[29] Thus arithmetic of numbers in can be alternately represented by the arithmetic of such matrices.[30] In this context, the number is represented by the matrix .[31] A convenient choice of basis for is , in terms of which is a symmetric matrix:[32]

The adjugate matrix represents the algebraic conjugate , the matrix (satisfying ) represents ,[33] and the adjugate of an arbitrary element , which we will denote , represents the number :

Every matrix , except for the zero matrix, is invertible, and its inverse represents the multiplicative inverse in .[34]

If is an element of , with conjugate , then the matrix has the numbers and as its eigenvalues. Its trace is .[35] Its determinant is . The characteristic polynomial of is , which is the minimal polynomial of and whenever is not zero. These properties are shared by the adjugate matrix . Their product is .[30][29]

These matrices have especially been studied in the context of the Fibonacci numbers and Lucas numbers , which appear as the entries of and , respectively: Powers of are sometimes called Fibonacci matrices.[36]

Every matrix of the form has eigenvectors which point along the directions and .[37] When numbers in are plotted, as above, in a coordinate system where their values as real numbers are the horizontal axis and the values of their conjugates are the vertical axis, the eigenvectors point along those two axes. (Zero is the only number directly on either axis.) The matrices for integer , representing units, and more generally any matrices with and determinant , are squeeze mappings, which stretch the plane along one axis and squish it along the other, fixing hyperbolas of constant norm. The matrices and more generally matrices with and determinant , are the composition of a squeeze mapping and a vertical reflection. The negative identity matrix is a point reflection across the origin. In general any other matrix can be decomposed as the product of a squeeze mapping, possibly a reflection, and a uniform scaling by the square root of the absolute value of its determinant.

Other properties

The golden field is the real quadratic field with the smallest discriminant, .[38] It has class number 1, which means that the ring of its algebraic integers is a principal ideal domain and a unique factorization domain.[39]

Any positive element of the golden field can be written as a generalized type of continued fraction, in which the partial quotients are sums of non-negative powers of .[40]

Fibonacci numbers

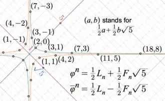
The Lucas and Fibonacci numbers are components of φn when written in terms of 1/2 and 1/2√5.[41]

is a natural choice of number system for studying the Fibonacci numbers and the Lucas numbers . These number sequences are usually defined by recurrence relations similar to the one satisfied by the powers of and :

The sequences and respectively begin:[42]

Both sequences can be consistently extended to negative integer indices by following the same recurrence in the negative direction. They satisfy the identities[43]

The Fibonacci and Lucas numbers can alternately be expressed as the components and when a power of the golden ratio or its conjugate is written in the form :[44]

Binet's formula for Fibonacci numbers plotted in the lattice of golden integers

The expression of the Fibonacci numbers in terms of is called Binet's formula:[45]

The powers of or , when written in the form , can be expressed in terms of just Fibonacci numbers,[46] Powers of or times can be expressed in terms of just Lucas numbers, Statements about golden integers can be recast as statements about the Fibonacci or Lucas numbers; for example, that every power of is a unit of , , when expanded, becomes Cassini's identity, and likewise becomes the analogous identity about Lucas numbers,

The numbers and are the roots of the quadratic polynomial . This is the minimal polynomial for for any non-zero integer .[47] The quadratic polynomial is the minimal polynomial for .[48]

In the limit, consecutive Fibonacci or Lucas numbers approach a ratio of , and the ratio of Lucas to Fibonacci numbers approaches :[4]

Theorems about the Fibonacci numbers – for example, divisibility properties such as if divides then divides – can be conveniently proven using .[49]

Relation to fivefold symmetry

The golden ratio is the ratio between the lengths of a diagonal and a side of a regular pentagon, so the golden field and golden integers feature prominently in the metrical geometry of the regular pentagon and its symmetry system, as well as higher-dimensional objects and symmetries involving five-fold symmetry.

Euclidean plane

The golden ratio is related to the fifth roots of unity.

Let be the 5th root of unity, a complex number of unit absolute value spaced of a full turn from around the unit circle, satisfying . Then the fifth cyclotomic field is the field extension of the rational numbers formed by adjoining (or equivalently, adjoining any of , or ). Elements of are numbers of the form , with rational coefficients. is of degree four over the rational numbers: any four of the five roots are linearly independent over , but all five sum to zero. However, is only of degree two over , where the conjugate . The elements of can alternately be represented as , where and are elements of :

Conversely, is a subfield of . For any primitive root of unity , the maximal real subfield of the cyclotomic field is the field ; see Minimal polynomial of . In our case , , so is the positive root of the quadratic polynomial , namely , and the maximal real subfield of is .[50]

Diagonals of a unit-circumradius regular decagon are square roots of golden integers.

The squared absolute value of any element of is an element of : In particular, the squared length of the side of a regular pentagon of unit circumradius is and the squared length of its diagonal is ; these two numbers are conjugates, associates of . In a regular decagon with unit circumradius, the squared length of a side is and the squared length of a diagonal between vertices three apart is .

Golden integers are involved in the trigonometric study of fivefold symmetries. By the quadratic formula,

Angles of and thus have golden rational cosines but their sines are the square roots of golden rational numbers.[51]

Three-dimensional space

A regular icosahedron with edge length can be oriented so that the Cartesian coordinates of its vertices are[52]

Four-dimensional space

The 600-cell is a regular 4-polytope with 120 vertices, 720 edges, 1200 triangular faces, and 600 tetrahedral cells. It has kaleidoscopic symmetry generated by four mirrors which can be conveniently oriented as , , , and . Then the 120 vertices have golden-integer coordinates: arbitrary permutations of and with an even number of minus signs, with an odd number of minus signs, and .[53]

Higher dimensions

The icosians are a special set of quaternions that are used in a construction of the E8 lattice. Each component of an icosian always belongs to the golden field.[54] The icosians of unit norm are the vertices of a 600-cell.[55]

Quasiperiodicity

The Fibonacci chain, a one-dimensional quasicrystal, constructed by the cut-and-project method

Golden integers are used in studying quasicrystals.[56]

Other applications

The quintic case of Fermat's Last Theorem, that there are no nontrivial integer solutions to the equation , was proved using by Gustav Lejeune Dirichlet and Adrien-Marie Legendre in 1825–1830.[57]

In enumerative geometry, it is proven that every non-singular cubic surface contains exactly 27 lines. The Clebsch surface is unusual in that all 27 lines can be defined over the real numbers.[58] They can, in fact, be defined over the golden field.[59]

In quantum information theory, an abelian extension of the golden field is used in a construction of a SIC-POVM in four-dimensional complex vector space.[60]

Notes

  1. ^ The expression is pronounced "the rational numbers adjoin the square root of five", or, more concisely, "Q adjoin root five". See Trifković 2013, p. 6.
  2. ^ The name golden field was apparently introduced in 1988 by John Conway and Neil Sloane in the 1st edition of their book Sphere Packings, Lattices and Groups (§ 8.2.1, p. 207). See Conway & Sloane 1999 for the 3rd edition. The name is relatively uncommon; most sources use symbolic names such as or .
  3. ^ a b Lind 1968.
  4. ^ a b Sloane, "Decimal expansion of square root of ", OEIS A002163.
  5. ^ Sloane, "Decimal expansion of golden ratio (or ) ", OEIS A001622.
  6. ^ Dickson 1923, pp. 129–130, 139.
  7. ^ Dodd 1983, p. 8.
  8. ^ a b Dimitrov, Cosklev & Bonevsky 1995.
  9. ^ a b Dodd 1983, pp. 9–10.
  10. ^ Dodd 1983, pp. 8–9.
  11. ^ a b c d e f Dodd 1983, p. 9.
  12. ^ This is true for conjugation in quadratic fields in general. See Trifković 2013, p. 62.
  13. ^ Rotman 2017.
  14. ^ a b Appleby et al. 2022.
  15. ^ For instance by Rokhsar, Mermin & Wright 1987; Lehrer & Taylor 2009, p. 253.
  16. ^ Hirzebruch 1976; Sporn 2021.
  17. ^ Dodd 1983, p. 11.
  18. ^ Dodd 1983, pp. 28–29.
  19. ^ a b Dodd 1983, pp. 26–28.
  20. ^ Sloane, "Positive numbers of the form ", OEIS A031363.
  21. ^ Dodd 1983, p. 3.
  22. ^ Wasteels 1902; Dodd 1983, p. 22; Dimitrov, Cosklev & Bonevsky 1995.
  23. ^ a b c A list of primes can be found in Dodd 1983, Appendix B, "A List of Primes", pp. 128–150.
  24. ^ Sloane, "Primes congruent to or modulo ", OEIS A003631.
  25. ^ Sloane, "Primes congruent to mod ", OEIS A045468.
  26. ^ Hardy & Wright 1954, pp. 221–222.
  27. ^ Dodd 1983, Ch. 2, "Elementary Divisibility Properties of Z(ω)", pp. 7–19.
  28. ^ LeVeque 1956, pp. 56–57; Sloane, "Squarefree values of for which the quadratic field is norm-Euclidean", OEIS A048981.
  29. ^ a b Liba & Ilany 2023, p. 15; Yang 1997; Fontaine & Hurley 2011 also mention the isomorphism between the real subfield of the cyclotomic field and the arithmetic of matrices spanned by and , which they call the silver matrices and .
    Méndez-Delgadillo, Lam-Estrada & Maldonado-Ramírez 2015 work with the basis , relative to which the matrix represents :
    In this basis, the golden ratio is represented by a matrix :
    This is the same idea as using the matrices and : arithmetic of these matrices is likewise isomorphic to arithmetic in , and the eigenvalues, characteristic polynomial, trace, and determinant are the same in any basis. However, the eigenvectors are and rather than and .
  30. ^ a b Rotman 2017, p. 456 ff. describes this for finite-dimensional field extensions in general.
  31. ^ Boukas, Feinsilver & Fellouris 2016.
  32. ^ Our matrix , or the mirrored variant , is commonly denoted or in work about the Fibonacci numbers. See Gould 1981 for a survey in that context. Here we use the symbol for consistency with the symbol and to avoid confusion with the rational numbers , which are also often denoted . Liba & Ilany 2023, p. 15 also use the symbol , and call this the "golden matrix".
  33. ^ Hoggatt & Ruggles 1963; Liba & Ilany 2023, p. 16
  34. ^ Liba & Ilany 2023, p. 14.
  35. ^ Here means the matrix trace of and means the field trace of in .
  36. ^ Bicknell & Hoggatt 1973, pp. 18–26; Gould 1981.
  37. ^ Here the symbol indicates the transpose of a matrix, so is a column vector.
  38. ^ Dembélé 2005.
  39. ^ Sloane, " is a unique factorization domain", OEIS A003172
  40. ^ Bernat 2006.
  41. ^ Vajda 1989, p. 31 plots these points and hyperbolas rotated and scaled so that and coordinates make a square grid aligned with the page.
  42. ^ Sloane, "Fibonacci numbers", OEIS A000045; Sloane, "Lucas numbers beginning at ", OEIS A000032.
  43. ^ Vajda 1989, p. 10; Sloane, "[...] Fibonacci numbers extended to negative indices", OEIS A039834.
  44. ^ Lind 1968; Vajda 1989, p. 52
  45. ^ Dodd 1983, p. 5.
    The formula was developed by Abraham de Moivre (1718) and then independently by Jacques Philippe Marie Binet (1843) and Gabriel Lamé (1844); see Vajda 1989, p. 52.
  46. ^ Dodd 1983, p. 22.
  47. ^ For , which is its own conjugate, the polynomial is not minimal.
  48. ^ Because, as described in § Conjugation and norm, for any in . In this case, , , , and .
  49. ^ Dodd 1983, § 9.4 "Divisibility Properties of the Fibonacci Numbers", pp. 119–126 proves this and various related results. See also Carlitz 1964.
  50. ^ Shurman 1997, p. 77.
    More generally, for any odd prime , the field is a subfield of . Moreover, by the Kronecker–Weber theorem, every abelian extension of the rationals is contained in some cyclotomic field. See Ireland & Rosen 1990, pp. 199–200.
  51. ^ Bradie 2002; Huntley 1970, pp. 39–41.
  52. ^ Steeb, Hardy & Tanski 2012, p. 211.
  53. ^ Coxeter 1985; Denney et al. 2020.
  54. ^ Conway & Sloane 1999, pp. 207–208; Pleasants 2002, pp. 213–214.
  55. ^ Denney et al. 2020.
  56. ^ Sporn 2021.
  57. ^ Ribenboim 1999; Dirichlet 1828; Legendre 1830; Dodd 1983, § 9.3 "The Equation ", pp. 110–118.
  58. ^ Baez 2016.
  59. ^ Hunt 1996; Polo-Blanco & Top 2009.
  60. ^ Appleby et al. 2022; Bengtsson 2017.

References