Alniditan
![]() | |
| Clinical data | |
|---|---|
| Other names | R-91274; R91274 |
| Routes of administration | Oral |
| Drug class | Serotonin 5-HT1B and 5-HT1D receptor agonist; Antimigraine agent; Ditan |
| ATC code |
|
| Pharmacokinetic data | |
| Elimination half-life | 8–13 hours[1] |
| Identifiers | |
| |
| CAS Number |
|
| PubChem CID | |
| IUPHAR/BPS | |
| ChemSpider | |
| UNII |
|
| KEGG | |
| ChEMBL | |
| Chemical and physical data | |
| Formula | C17H26N4O |
| Molar mass | 302.422 g·mol−1 |
| 3D model (JSmol) | |
| |
| |
| (verify) | |
Alniditan (INN, USAN; developmental code name R-91274) is a selective serotonin 5-HT1B and 5-HT1D receptor agonist with migraine-preventive effects which was never marketed.[2][3][4] It was under development for treatment of migraine via subcutaneous injection in the 1990s and reached phase 3 clinical trials for this indication prior to the discontinuation of its development.[2][5]
Pharmacology
Pharmacodynamics
| Target | Affinity (Ki, nM) |
|---|---|
| 5-HT1A | 0.48–4.0 (Ki) 51–116 (EC50) 79–~100% (Emax) |
| 5-HT1B | 0.39–2.5 (Ki) 1.0–17 (EC50) 81% (Emax) |
| 5-HT1D | 0.4–2.5 (Ki) 1.1–6.3 (EC50) ~100% (Emax) |
| 5-HT1E | 240–525 (Ki) 2,090–6,170 (EC50) |
| 5-HT1F | 360–1,230 (Ki) 1,200–6,760 (EC50) |
| 5-HT2A | 3,720 (Ki) or IA >10,000 (EC50) |
| 5-HT2B | 132 (Ki) 71 (EC50) |
| 5-HT2C | 2,930 (Ki) (pig) ND (EC50) |
| 5-HT3 | IA (mouse) |
| 5-HT4 | 5,120 (guinea pig) |
| 5-HT5A | ND |
| 5-HT6 | 5,470 (rat) |
| 5-HT7 | 55 (Ki) 479 (EC50) |
| α1 | 97 (rat) |
| α1A–α1D | ND |
| α1 | 460 (rat) |
| α2A | 37 |
| α2B | 170 |
| α2B | 18 |
| β1, β2 | IA |
| β3 | ND |
| D1 | IA (rat) |
| D2 | 1,950 |
| D3 | 280 |
| D4 | 80 |
| D5 | ND |
| H1 | 3,830 (guinea pig) |
| H2–H4 | ND |
| mACh | IA (rat) |
| M1–M5 | ND |
| I1, I2 | ND |
| σ1 | 40 (guinea pig) |
| σ2 | ND |
| TAAR1 | ND |
| SERT | IA |
| NET | IA (rat) |
| DAT | IA (rat) |
| VMAT | 365 (rat) |
| Notes: The smaller the value, the more avidly the drug binds to the site. All proteins are human unless otherwise specified. Refs: [6][7][4][8][9][10][11][3][12] | |
Alniditan acts as a selective serotonin 5-HT1B and 5-HT1D receptor full agonist.[4][9][3][12] To a much lesser extent, it is also a full agonist of the serotonin 5-HT1A receptor and an agonist of the serotonin 5-HT2B receptor.[4][3][8] Conversely, alniditan is essentially inactive at the serotonin 5-HT1E, 5-HT1F, and 5-HT2A receptors.[3] The broad receptor interactions of alniditan have been studied and reported.[4][3]
Pharmacokinetics
The elimination half-life of alniditan is relatively long at 8 to 13 hours.[1]
Chemistry
Synthesis
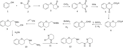
The sizeable number of serotonergic drugs for treating migraines all incorporate the indole nucleus found in serotonin itself. It is thus of interest that a compound based on a benzopyran manifests much the same activity.

Alkylation of phenol with 2-bromobutyrolactone (2) leads to the ether (3). Oxidation of that product with chromium trioxide then leads to the substituted succinic anhydride (4). Treatment of anhydride with polyphosphoric acid leads to the acylation of the aromatic ring and the formation of the benzopyranone ring (5). The ketone is then selectively reduced by any of several methods, as, for example, conversion to a dithiolane followed by Mozingo reduction to 6. The carboxylic acid is next reduced to the corresponding aldehyde (7) by successive conversion to an acid chloride followed by hydrogenation in the presence of thiophene. A second hydrogenation in the presence of benzylamine leads to the reductive amination product (8). Michael addition of the amino group in 8 to acrylonitrile leads to a 1,4-addition and the formation of (9). Reduction of the nitrile affords the diamine (10). Reaction of this last diamine with tetrahydropyrimidine chloride (11), itself formed by treatment of trimethylene urea with phosphorus oxychloride, leads to the displacement of halogen by the terminal, and thus more accessible, amino group in (10). There is thus formed the serotonergic agent alniditan (12).
See also
References
- ^ a b Ramadan NM (2001). "Acute treatments: some blind alleys". Curr Med Res Opin. 17 Suppl 1: s71–80. doi:10.1185/0300799039117001. PMID 12463283.
[...] Finally, alniditan has a long plasma half-life (8–13 h).
- ^ a b "Alniditan". AdisInsight. 8 July 1997. Retrieved 28 July 2025.
- ^ a b c d e f Rubio-Beltrán E, Labastida-Ramírez A, Haanes KA, van den Bogaerdt A, Bogers AJ, Zanelli E, Meeus L, Danser AH, Gralinski MR, Senese PB, Johnson KW, Kovalchin J, Villalón CM, MaassenVanDenBrink A (December 2019). "Characterization of binding, functional activity, and contractile responses of the selective 5-HT1F receptor agonist lasmiditan". British Journal of Pharmacology. 176 (24): 4681–4695. doi:10.1111/bph.14832. PMC 6965684. PMID 31418454.
TABLE 1 Summary of pIC50 (negative logarithm of the molar concentration of these compounds at which 50% of the radioligand is displaced) and pKi (negative logarithm of the molar concentration of the Ki ) values of individual antimigraine drugs at 5‐HT receptors [...] TABLE 2 Summary of pEC50 values of cAMP (5‐HT1A/B/E/F and 5‐HT7), GTPγS (5‐HT1A/B/D/E/F), and IP (5‐HT2) assays of individual antimigraine drugs at 5‐HT receptors [...]
- ^ a b c d e Leysen JE, Gommeren W, Heylen L, Luyten WH, Van de Weyer I, Vanhoenacker P, Haegeman G, Schotte A, Van Gompel P, Wouters R, Lesage AS (December 1996). "Alniditan, a new 5-hydroxytryptamine1D agonist and migraine-abortive agent: ligand-binding properties of human 5-hydroxytryptamine1D alpha, human 5-hydroxytryptamine1D beta, and calf 5-hydroxytryptamine1D receptors investigated with [3H]5-hydroxytryptamine and [3H]alniditan". Mol Pharmacol. 50 (6): 1567–1580. doi:10.1016/S0026-895X(25)09616-6. PMID 8967979.
- ^ "Delving into the Latest Updates on Alniditan with Synapse". Synapse. 19 July 2025. Retrieved 29 July 2025.
- ^ Liu, Tiqing. "BindingDB BDBM50403503 ALNIDITAN". BindingDB. Retrieved 30 July 2025.
- ^ "Kᵢ Database". PDSP. 30 July 2025. Retrieved 30 July 2025.
- ^ a b Newman-Tancredi A, Conte C, Chaput C, Verrièle L, Audinot-Bouchez V, Lochon S, Lavielle G, Millan MJ (June 1997). "Agonist activity of antimigraine drugs at recombinant human 5-HT1A receptors: potential implications for prophylactic and acute therapy". Naunyn Schmiedebergs Arch Pharmacol. 355 (6): 682–688. doi:10.1007/pl00005000. PMID 9205951.
- ^ a b Lesage AS, Wouters R, Van Gompel P, Heylen L, Vanhoenacker P, Haegeman G, Luyten WH, Leysen JE (April 1998). "Agonistic properties of alniditan, sumatriptan and dihydroergotamine on human 5-HT1B and 5-HT1D receptors expressed in various mammalian cell lines". Br J Pharmacol. 123 (8): 1655–1665. doi:10.1038/sj.bjp.0701766. PMC 1565323. PMID 9605573.
- ^ Pauwels PJ, John GW (1999). "Present and future of 5-HT receptor agonists as antimigraine drugs". Clin Neuropharmacol. 22 (3): 123–136. PMID 10367177.
- ^ Ramadan NM, Skljarevski V, Phebus LA, Johnson KW (October 2003). "5-HT1F receptor agonists in acute migraine treatment: a hypothesis". Cephalalgia. 23 (8): 776–785. doi:10.1046/j.1468-2982.2003.00525.x. PMID 14510923.
- ^ a b Perez, M.; Halazy, S.; Pauwels, P.J.; Colpaert, F.C.; John, G.W. (1999). "F-11356". Drugs of the Future. 24 (6): 0605. doi:10.1358/dof.1999.024.06.537284. Retrieved 23 June 2025.
- ^ Van Lommen G, De Bruyn M, Schroven M, Verschueren W, Janssens W, Verrelst J, Leysen J (1995). "The discovery of a series of new non-indole 5HT1D agonists". Bioorganic & Medicinal Chemistry Letters. 5 (22): 2649–2654. doi:10.1016/0960-894X(95)00473-7.
